Logo video2dn
  • Сохранить видео с ютуба
  • Категории
    • Музыка
    • Кино и Анимация
    • Автомобили
    • Животные
    • Спорт
    • Путешествия
    • Игры
    • Люди и Блоги
    • Юмор
    • Развлечения
    • Новости и Политика
    • Howto и Стиль
    • Diy своими руками
    • Образование
    • Наука и Технологии
    • Некоммерческие Организации
  • О сайте

Скачать или смотреть Вопрос 221 Решите (xy^2 - x^2)dx + (3x^2y^2 + x^2y - 2x^3 + y^2)dy = 0

  • Binge Solver
  • 2023-01-08
  • 5552
Вопрос 221 Решите (xy^2 - x^2)dx + (3x^2y^2 + x^2y - 2x^3 + y^2)dy = 0
  • ok logo

Скачать Вопрос 221 Решите (xy^2 - x^2)dx + (3x^2y^2 + x^2y - 2x^3 + y^2)dy = 0 бесплатно в качестве 4к (2к / 1080p)

У нас вы можете скачать бесплатно Вопрос 221 Решите (xy^2 - x^2)dx + (3x^2y^2 + x^2y - 2x^3 + y^2)dy = 0 или посмотреть видео с ютуба в максимальном доступном качестве.

Для скачивания выберите вариант из формы ниже:

  • Информация по загрузке:

Cкачать музыку Вопрос 221 Решите (xy^2 - x^2)dx + (3x^2y^2 + x^2y - 2x^3 + y^2)dy = 0 бесплатно в формате MP3:

Если иконки загрузки не отобразились, ПОЖАЛУЙСТА, НАЖМИТЕ ЗДЕСЬ или обновите страницу
Если у вас возникли трудности с загрузкой, пожалуйста, свяжитесь с нами по контактам, указанным в нижней части страницы.
Спасибо за использование сервиса video2dn.com

Описание к видео Вопрос 221 Решите (xy^2 - x^2)dx + (3x^2y^2 + x^2y - 2x^3 + y^2)dy = 0

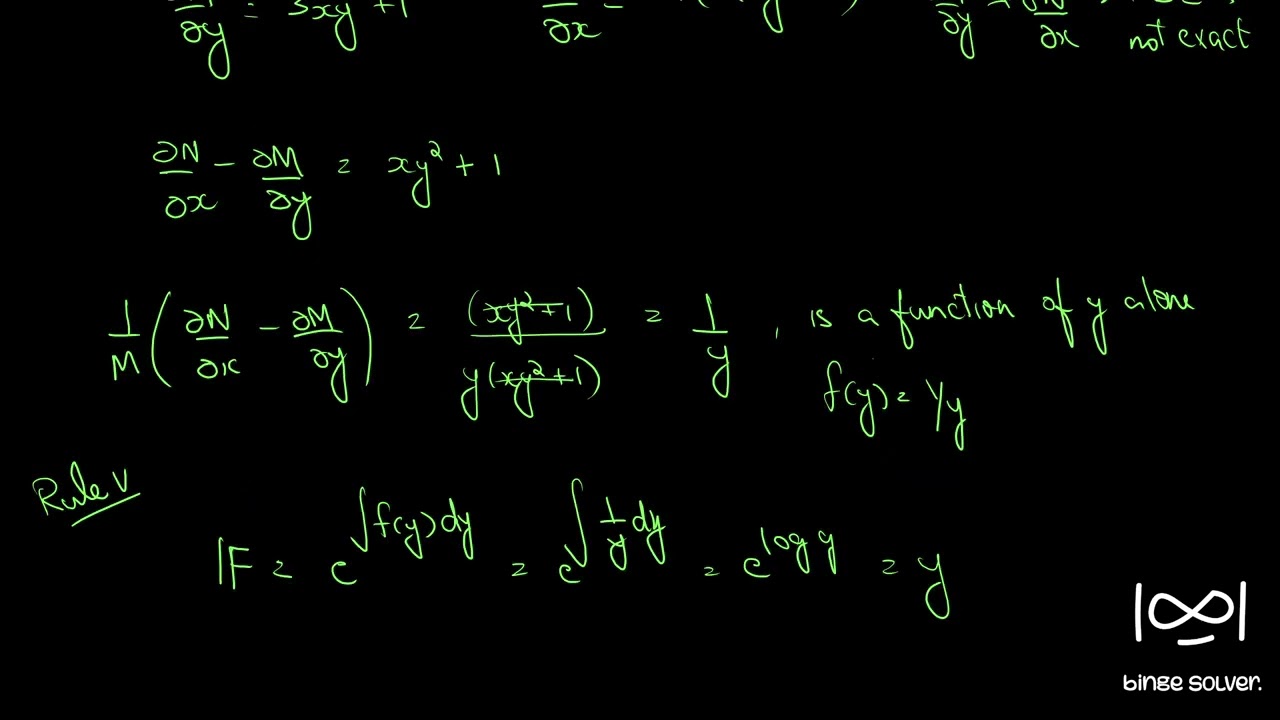
Тема: Обыкновенные дифференциальные уравнения (ОДУ)
Подтема: Уравнения первого порядка и первой степени

Решение уравнений в точных дифференциальных уравнениях
Интегрирующий множитель
Правило IV: если 1/N(∂M/∂y - ∂N/∂x) является функцией только x, например, f(x), то интегрирующий множитель (ИМ) = e^(∫ f(x)dx)
Правило V: если 1/M(∂N/∂x - ∂M/∂y) является функцией только y, например, f(y), то интегрирующий множитель (ИМ) = e^(∫ f(y)dy)

Q221 Решите уравнение (xy^2 - x^2)dx + (3x^2y^2 + x^2y - 2x^3 + y^2)dy = 0

Комментарии

Информация по комментариям в разработке

Похожие видео

  • Q222 Solve (xy^3 + y)dx + 2(x^2y^2 + x + y^4 )dy = 0
    Q222 Solve (xy^3 + y)dx + 2(x^2y^2 + x + y^4 )dy = 0
    3 года назад
  • (xy^2-x^2)dx+(3x^2y^2+x^2y-2x^3+y^2)dy=0 #NonExact L605 @MathsPulseChinnaiahKalpana
    (xy^2-x^2)dx+(3x^2y^2+x^2y-2x^3+y^2)dy=0 #NonExact L605 @MathsPulseChinnaiahKalpana
    3 года назад
  • 99% Stuck Here | The Exponential Logarithm Connection Nobody Sees
    99% Stuck Here | The Exponential Logarithm Connection Nobody Sees
    7 дней назад
  • y(x^2y^2+2)dx+x(2-2x^2y^2)dy=0 #NonExact L581 @MathsPulseChinnaiahKalpana
    y(x^2y^2+2)dx+x(2-2x^2y^2)dy=0 #NonExact L581 @MathsPulseChinnaiahKalpana
    4 года назад
  • Solve dx/x(y^2-z^2)=dy/-y(z^2+x^2)=dz/z(x^2+y^2)
    Solve dx/x(y^2-z^2)=dy/-y(z^2+x^2)=dz/z(x^2+y^2)
    7 месяцев назад
  • Solve  y(xy+2x²y²)dx+x(xy-x²y²)dy=0||Non-Exact Differential Equation Method-2||Explanation in Telugu
    Solve y(xy+2x²y²)dx+x(xy-x²y²)dy=0||Non-Exact Differential Equation Method-2||Explanation in Telugu
    3 года назад
  • Кто переживет войну в Иране?
    Кто переживет войну в Иране?
    9 часов назад
  • ⚡️ Операция войск началась || Трамп срочно вызвал Путина на переговоры
    ⚡️ Операция войск началась || Трамп срочно вызвал Путина на переговоры
    2 часа назад
  • Ты — Исполинский Козодой (И ЭТО ВСЯ ТВОЯ ЖИЗНЬ)
    Ты — Исполинский Козодой (И ЭТО ВСЯ ТВОЯ ЖИЗНЬ)
    18 часов назад
  • Самая Сложная Задача В Истории Самой Сложной Олимпиады
    Самая Сложная Задача В Истории Самой Сложной Олимпиады
    1 год назад
  • Проклятие размерности, или Чем мониторинг отличается от контроля | Андрей Масалович
    Проклятие размерности, или Чем мониторинг отличается от контроля | Андрей Масалович
    20 часов назад
  • ШУЛЬМАН: новая мобилизация, уход Путина, смута. Чебурнет. Большое интервью / МОЖЕМ ОБЪЯСНИТЬ
    ШУЛЬМАН: новая мобилизация, уход Путина, смута. Чебурнет. Большое интервью / МОЖЕМ ОБЪЯСНИТЬ
    1 день назад
  • Вот почему следует ЗАПРЕТИТЬ формулу ДИСКРИМИНАНТА
    Вот почему следует ЗАПРЕТИТЬ формулу ДИСКРИМИНАНТА
    1 год назад
  • Эта задача из МГУ пугает школьников! Разбор нестандартного НЕРВЕНСТВА!
    Эта задача из МГУ пугает школьников! Разбор нестандартного НЕРВЕНСТВА!
    1 день назад
  • 2-я Иранская война:  итоги 10 дней (с картами и картинками)
    2-я Иранская война: итоги 10 дней (с картами и картинками)
    2 часа назад
  • Цены На Нефть Бьют Рекорды📈Оборона Голубовки Рухнула💥 Массированные Удары🔥 Военные Сводки 09.03.2026
    Цены На Нефть Бьют Рекорды📈Оборона Голубовки Рухнула💥 Массированные Удары🔥 Военные Сводки 09.03.2026
    12 часов назад
  • Комплексные числа: коротко и понятно – Алексей Савватеев | Лекции по математике | Научпоп
    Комплексные числа: коротко и понятно – Алексей Савватеев | Лекции по математике | Научпоп
    2 года назад
  • ОДНА САТАНА: скрытая власть первых леди | Разборы
    ОДНА САТАНА: скрытая власть первых леди | Разборы
    15 часов назад
  • Скотт Риттер: Иран 7-минут назад срочно!
    Скотт Риттер: Иран 7-минут назад срочно!
    5 часов назад
  • Почему таблицу Менделеева, которую вы учили, можно выбросить?
    Почему таблицу Менделеева, которую вы учили, можно выбросить?
    1 день назад
  • О нас
  • Контакты
  • Отказ от ответственности - Disclaimer
  • Условия использования сайта - TOS
  • Политика конфиденциальности

video2dn Copyright © 2023 - 2025

Контакты для правообладателей video2contact@gmail.com