Logo video2dn
  • Сохранить видео с ютуба
  • Категории
    • Музыка
    • Кино и Анимация
    • Автомобили
    • Животные
    • Спорт
    • Путешествия
    • Игры
    • Люди и Блоги
    • Юмор
    • Развлечения
    • Новости и Политика
    • Howto и Стиль
    • Diy своими руками
    • Образование
    • Наука и Технологии
    • Некоммерческие Организации
  • О сайте

Скачать или смотреть Figure shows a sine curve, as the displacement time curve of a particle | Class 12 | Physics

  • Filo Questions & Answers
  • 2023-06-02
  • 24
Figure shows a sine curve, as the displacement time curve of a particle  | Class 12 | Physics
  • ok logo

Скачать Figure shows a sine curve, as the displacement time curve of a particle | Class 12 | Physics бесплатно в качестве 4к (2к / 1080p)

У нас вы можете скачать бесплатно Figure shows a sine curve, as the displacement time curve of a particle | Class 12 | Physics или посмотреть видео с ютуба в максимальном доступном качестве.

Для скачивания выберите вариант из формы ниже:

  • Информация по загрузке:

Cкачать музыку Figure shows a sine curve, as the displacement time curve of a particle | Class 12 | Physics бесплатно в формате MP3:

Если иконки загрузки не отобразились, ПОЖАЛУЙСТА, НАЖМИТЕ ЗДЕСЬ или обновите страницу
Если у вас возникли трудности с загрузкой, пожалуйста, свяжитесь с нами по контактам, указанным в нижней части страницы.
Спасибо за использование сервиса video2dn.com

Описание к видео Figure shows a sine curve, as the displacement time curve of a particle | Class 12 | Physics

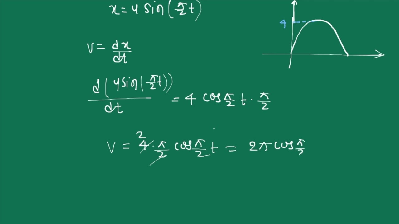
Figure shows a sine curve, as the displacement time curve of a particle executing rectilinear motion having equation $x=4 \sin \left(\frac{\pi}{2} t\right)$. The velocity of particle at $t=\frac{2}{3} s$ is
(B) $\sqrt{3} \pi \mathrm{ms}^{-1}$
(C) $\frac{\pi}{2} \mathrm{~ms}^{-1}$
(D) None of these

This question is from [Subject: Physics | Topic: Mechanics | Class: 12th ]
———————
Download the app & connect to a live tutor now: https://app.askfilo.com/app/2qyV

Also answered on: https://askfilo.com/user-question-ans...

Filo is the world's only instant tutoring platform that connects you to a live tutor in just 60 seconds, 24X7 - yes even at 4 a.m. on a Sunday. So whenever you get stuck while studying, you can speed dial a tutor for a one-to-one interactive video session. More than 3.5 million students across 15 different countries trust Filo every day, from preparing for the most challenging exams such as JEE, NEET, SAT, Olympiads, etc. to improving their grades in school exams. With over 60,000 expert tutors, Filo is the largest community of tutors in the world.


Follow these 3 simple steps to use Filo:

1. Click a picture of the question or concept.

2. Connect to a tutor in less than 60 seconds.

3. Learn from that tutor on a live video session.

It’s that simple! #AskFilo and get your questions answered.

Follow @Filo and the below Socials for more:
Instagram:   / filoindia  
Facebook:   / findfilo  
Twitter:   / askfilo  
LinkedIn:   / filoedtech  "

Комментарии

Информация по комментариям в разработке

Похожие видео

  • О нас
  • Контакты
  • Отказ от ответственности - Disclaimer
  • Условия использования сайта - TOS
  • Политика конфиденциальности

video2dn Copyright © 2023 - 2025

Контакты для правообладателей [email protected]