Logo video2dn
  • Сохранить видео с ютуба
  • Категории
    • Музыка
    • Кино и Анимация
    • Автомобили
    • Животные
    • Спорт
    • Путешествия
    • Игры
    • Люди и Блоги
    • Юмор
    • Развлечения
    • Новости и Политика
    • Howto и Стиль
    • Diy своими руками
    • Образование
    • Наука и Технологии
    • Некоммерческие Организации
  • О сайте

Скачать или смотреть Logistic Regression | Binary Classification بالعربي

  • ElhosseiniAcademy
  • 2020-08-10
  • 4901
Logistic Regression | Binary Classification بالعربي
  • ok logo

Скачать Logistic Regression | Binary Classification بالعربي бесплатно в качестве 4к (2к / 1080p)

У нас вы можете скачать бесплатно Logistic Regression | Binary Classification بالعربي или посмотреть видео с ютуба в максимальном доступном качестве.

Для скачивания выберите вариант из формы ниже:

  • Информация по загрузке:

Cкачать музыку Logistic Regression | Binary Classification بالعربي бесплатно в формате MP3:

Если иконки загрузки не отобразились, ПОЖАЛУЙСТА, НАЖМИТЕ ЗДЕСЬ или обновите страницу
Если у вас возникли трудности с загрузкой, пожалуйста, свяжитесь с нами по контактам, указанным в нижней части страницы.
Спасибо за использование сервиса video2dn.com

Описание к видео Logistic Regression | Binary Classification بالعربي

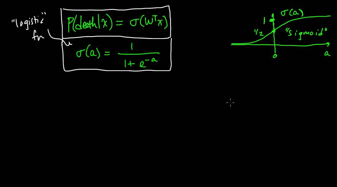
This lecture covers logistic regression for binary classification, exploring the concept of logistic regression and its applications. 🔍 You’ll learn how to implement logistic regression and understand its significance in addressing binary classification problems. We’ll delve into the activation function used in logistic regression, the sigmoid function, and discuss the loss function, Log Loss, specifically suited for this type of classification.

Join this session to deepen your understanding of logistic regression and its applications, and learn how to implement it effectively. 🧠 You’ll gain a solid grasp of the fundamental components of this technique and how to use it for binary classification projects.

Main Objectives:

Understand the concept and applications of logistic regression in binary classification.

Learn to implement logistic regression and its importance in binary classification tasks.

Explore the sigmoid activation function and its role in logistic regression.

Gain insights into the Log Loss function and its use in binary classification.

Develop practical skills for using logistic regression in real-world binary classification projects.

#LogisticRegression #BinaryClassification #MachineLearning #SigmoidFunction #LogLoss

Комментарии

Информация по комментариям в разработке

Похожие видео

  • Binary Classification using Keras بالعربي
    Binary Classification using Keras بالعربي
    5 лет назад
  • Учебник по машинному обучению Python - 8: логистическая регрессия (двоичная классификация)
    Учебник по машинному обучению Python - 8: логистическая регрессия (двоичная классификация)
    7 лет назад
  • Logistic Regression Details Pt1: Coefficients
    Logistic Regression Details Pt1: Coefficients
    7 лет назад
  • Cost Function and Gradient Descent in Logistic Regression Machine Learning
    Cost Function and Gradient Descent in Logistic Regression Machine Learning
    5 лет назад
  • Machine Learning and Logistic Regression
    Machine Learning and Logistic Regression
    1 год назад
  • Так из чего же состоят электроны? Самые последние данные
    Так из чего же состоят электроны? Самые последние данные
    6 дней назад
  • ⚡️НОВАЯ МОБИЛИЗАЦИЯ, ИРАН, КРИЗИС, МАХ И ПРОТЕСТЫ. Дмитрий Демушкин
    ⚡️НОВАЯ МОБИЛИЗАЦИЯ, ИРАН, КРИЗИС, МАХ И ПРОТЕСТЫ. Дмитрий Демушкин
    16 часов назад
  • Липсиц. Срочно гасите кредиты! Рубль 120. Крах банков. Перебои с едой. Массовые увольнения в Москве
    Липсиц. Срочно гасите кредиты! Рубль 120. Крах банков. Перебои с едой. Массовые увольнения в Москве
    11 часов назад
  • Régression logistique (multiple) : principes, exemples, interprétation
    Régression logistique (multiple) : principes, exemples, interprétation
    1 год назад
  • 🪓 Трампу не сносить головы! План Аятоллы: КРАХ нефтедоллара. Моссад против стран Залива - Геннадий М
    🪓 Трампу не сносить головы! План Аятоллы: КРАХ нефтедоллара. Моссад против стран Залива - Геннадий М
    8 часов назад
  • Mastering Odds Ratios in Logistic Regression – A Step-by-Step Guide
    Mastering Odds Ratios in Logistic Regression – A Step-by-Step Guide
    1 год назад
  • притворился БЕЗДОМНЫМ и сыграл на ДВУХ ГИТАРАХ СРАЗУ и ШОКИРОВАЛ ЛЮДЕЙ
    притворился БЕЗДОМНЫМ и сыграл на ДВУХ ГИТАРАХ СРАЗУ и ШОКИРОВАЛ ЛЮДЕЙ
    10 часов назад
  • Арестович & Латынина: Украина против всех.
    Арестович & Латынина: Украина против всех.
    9 часов назад
  • Иран зажег и мир горит все жестче
    Иран зажег и мир горит все жестче
    7 часов назад
  • (ML 15.3) Logistic regression (binary) - intuition
    (ML 15.3) Logistic regression (binary) - intuition
    14 лет назад
  • Война, инфляция и обнуление долгов. Лживые доклады и реальная ситуация в стране / Валентин Катасонов
    Война, инфляция и обнуление долгов. Лживые доклады и реальная ситуация в стране / Валентин Катасонов
    1 день назад
  • Электрон это не то что все думают! Вот как он выглядит на самом деле
    Электрон это не то что все думают! Вот как он выглядит на самом деле
    2 дня назад
  • ЛУЧШАЯ БЕСПЛАТНАЯ НЕЙРОСЕТЬ Google, которой нет аналогов
    ЛУЧШАЯ БЕСПЛАТНАЯ НЕЙРОСЕТЬ Google, которой нет аналогов
    3 месяца назад
  • ⚡️Началось!Китай ПОПЕР ПРОТИВ Ирана. Жесткий УЛЬТИМАТУМ Пекина Тегерану. Трамп ДОЖАЛ Сенат@МирВранья
    ⚡️Началось!Китай ПОПЕР ПРОТИВ Ирана. Жесткий УЛЬТИМАТУМ Пекина Тегерану. Трамп ДОЖАЛ Сенат@МирВранья
    9 часов назад
  • Война в Заливе: Кремль объявил Трампа врагом — теперь всё зависит от Ирана/№1105/ Юрий Швец
    Война в Заливе: Кремль объявил Трампа врагом — теперь всё зависит от Ирана/№1105/ Юрий Швец
    5 часов назад
  • О нас
  • Контакты
  • Отказ от ответственности - Disclaimer
  • Условия использования сайта - TOS
  • Политика конфиденциальности

video2dn Copyright © 2023 - 2025

Контакты для правообладателей video2contact@gmail.com