Logo video2dn
  • Сохранить видео с ютуба
  • Категории
    • Музыка
    • Кино и Анимация
    • Автомобили
    • Животные
    • Спорт
    • Путешествия
    • Игры
    • Люди и Блоги
    • Юмор
    • Развлечения
    • Новости и Политика
    • Howto и Стиль
    • Diy своими руками
    • Образование
    • Наука и Технологии
    • Некоммерческие Организации
  • О сайте

Скачать или смотреть Daily SAT Math Hacks Recap | 3 Quick Problems You Must Know! | SAT Math Practice Recap | Day 5

  • SAT MATH PLANET
  • 2025-11-07
  • 5
Daily SAT Math Hacks Recap | 3 Quick Problems You Must Know! | SAT Math Practice Recap | Day 5
  • ok logo

Скачать Daily SAT Math Hacks Recap | 3 Quick Problems You Must Know! | SAT Math Practice Recap | Day 5 бесплатно в качестве 4к (2к / 1080p)

У нас вы можете скачать бесплатно Daily SAT Math Hacks Recap | 3 Quick Problems You Must Know! | SAT Math Practice Recap | Day 5 или посмотреть видео с ютуба в максимальном доступном качестве.

Для скачивания выберите вариант из формы ниже:

  • Информация по загрузке:

Cкачать музыку Daily SAT Math Hacks Recap | 3 Quick Problems You Must Know! | SAT Math Practice Recap | Day 5 бесплатно в формате MP3:

Если иконки загрузки не отобразились, ПОЖАЛУЙСТА, НАЖМИТЕ ЗДЕСЬ или обновите страницу
Если у вас возникли трудности с загрузкой, пожалуйста, свяжитесь с нами по контактам, указанным в нижней части страницы.
Спасибо за использование сервиса video2dn.com

Описание к видео Daily SAT Math Hacks Recap | 3 Quick Problems You Must Know! | SAT Math Practice Recap | Day 5

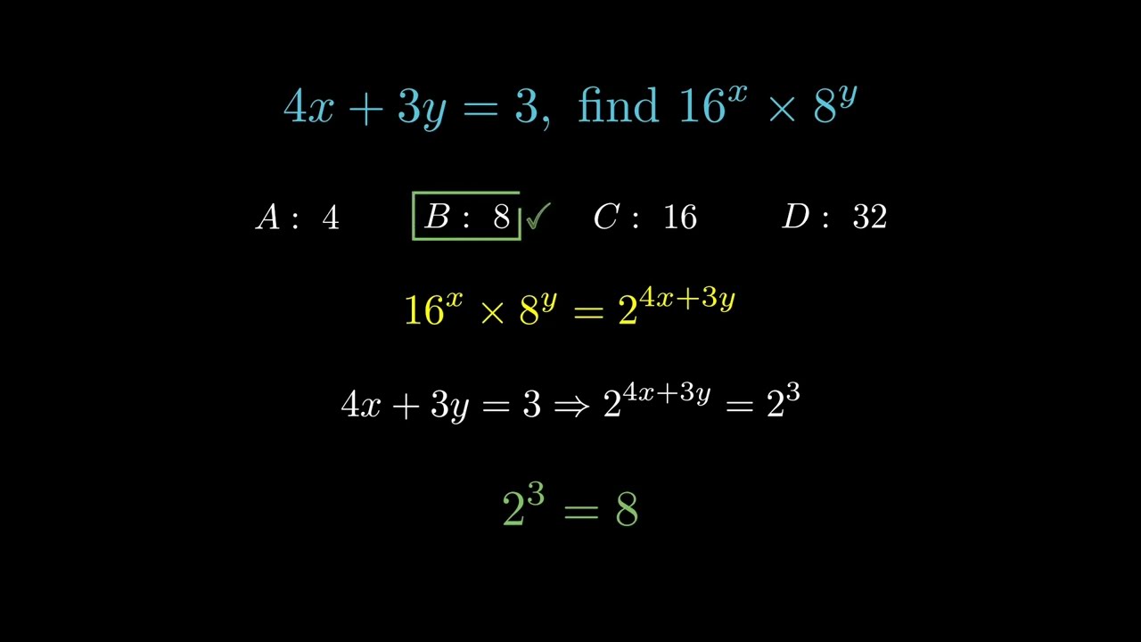
In this quick session, we break down three real-style SAT math problems step-by-step:

Topics covered:
Power and Exponents

Each clip shows the logic, common mistakes, and shortcuts to save time on test day.
Goal: help you think faster, avoid traps, and master SAT-style reasoning.
Subscribe to SAT Math-Planet for daily problem breakdowns, math hacks, and strategy tips.
Each concept is broken down using Manim animations for crystal-clear understanding.

Perfect for:
• SAT & PSAT prep
• Quick daily math review
• Building speed and confidence in problem solving

Watch more: SAT Math Hacks playlist New animated math tips every day!
#SAT #MathRecap #SATPrep #MathTricks #StudyWithMe

Комментарии

Информация по комментариям в разработке

Похожие видео

  • О нас
  • Контакты
  • Отказ от ответственности - Disclaimer
  • Условия использования сайта - TOS
  • Политика конфиденциальности

video2dn Copyright © 2023 - 2025

Контакты для правообладателей [email protected]