Logo video2dn
  • Сохранить видео с ютуба
  • Категории
    • Музыка
    • Кино и Анимация
    • Автомобили
    • Животные
    • Спорт
    • Путешествия
    • Игры
    • Люди и Блоги
    • Юмор
    • Развлечения
    • Новости и Политика
    • Howto и Стиль
    • Diy своими руками
    • Образование
    • Наука и Технологии
    • Некоммерческие Организации
  • О сайте

Скачать или смотреть Painleve-Gullstrand metric

  • Mostly Math
  • 2021-06-06
  • 842
Painleve-Gullstrand metric
generalrelativitymetricschwarzschildpainlevegullstrandcoordinatesblack hole
  • ok logo

Скачать Painleve-Gullstrand metric бесплатно в качестве 4к (2к / 1080p)

У нас вы можете скачать бесплатно Painleve-Gullstrand metric или посмотреть видео с ютуба в максимальном доступном качестве.

Для скачивания выберите вариант из формы ниже:

  • Информация по загрузке:

Cкачать музыку Painleve-Gullstrand metric бесплатно в формате MP3:

Если иконки загрузки не отобразились, ПОЖАЛУЙСТА, НАЖМИТЕ ЗДЕСЬ или обновите страницу
Если у вас возникли трудности с загрузкой, пожалуйста, свяжитесь с нами по контактам, указанным в нижней части страницы.
Спасибо за использование сервиса video2dn.com

Описание к видео Painleve-Gullstrand metric

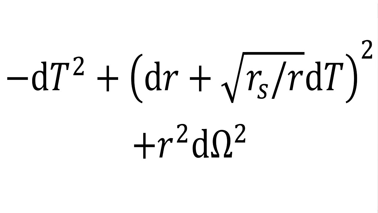
I linearly transform the time coordinate of the Schwarzschild metric with an arbitrary function, set the radial coefficient to unity, and solve for what the function must be and simplify the result.

I show that the new coordinates are nonsingular at the Schwarzschild radius, implying that the singularity there is simply a poor choice of coordinates.

Комментарии

Информация по комментариям в разработке

Похожие видео

  • О нас
  • Контакты
  • Отказ от ответственности - Disclaimer
  • Условия использования сайта - TOS
  • Политика конфиденциальности

video2dn Copyright © 2023 - 2025

Контакты для правообладателей [email protected]