Logo video2dn
  • Сохранить видео с ютуба
  • Категории
    • Музыка
    • Кино и Анимация
    • Автомобили
    • Животные
    • Спорт
    • Путешествия
    • Игры
    • Люди и Блоги
    • Юмор
    • Развлечения
    • Новости и Политика
    • Howto и Стиль
    • Diy своими руками
    • Образование
    • Наука и Технологии
    • Некоммерческие Организации
  • О сайте

Скачать или смотреть T3 Q24 Binomial Expansion: Certain Term SM015

  • Lim's Steps
  • 2021-01-09
  • 141
T3 Q24 Binomial Expansion: Certain Term SM015
  • ok logo

Скачать T3 Q24 Binomial Expansion: Certain Term SM015 бесплатно в качестве 4к (2к / 1080p)

У нас вы можете скачать бесплатно T3 Q24 Binomial Expansion: Certain Term SM015 или посмотреть видео с ютуба в максимальном доступном качестве.

Для скачивания выберите вариант из формы ниже:

  • Информация по загрузке:

Cкачать музыку T3 Q24 Binomial Expansion: Certain Term SM015 бесплатно в формате MP3:

Если иконки загрузки не отобразились, ПОЖАЛУЙСТА, НАЖМИТЕ ЗДЕСЬ или обновите страницу
Если у вас возникли трудности с загрузкой, пожалуйста, свяжитесь с нами по контактам, указанным в нижней части страницы.
Спасибо за использование сервиса video2dn.com

Описание к видео T3 Q24 Binomial Expansion: Certain Term SM015

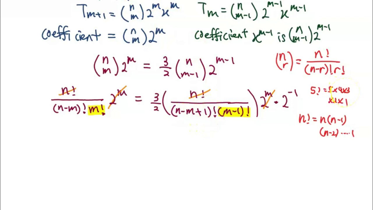
Binomial Expansion involving certain terms.
Given m and n are positive integers and m less than equal to n. If in the expansion of (1+2x)^n, the coefficient of x^m is 3/2 times the coefficient of x^m-1, show that 4n-7m+4=0 .
Hence find the smallest values of m and n which satisfies the above equation.

Комментарии

Информация по комментариям в разработке

Похожие видео

  • О нас
  • Контакты
  • Отказ от ответственности - Disclaimer
  • Условия использования сайта - TOS
  • Политика конфиденциальности

video2dn Copyright © 2023 - 2025

Контакты для правообладателей [email protected]