Logo video2dn
  • Сохранить видео с ютуба
  • Категории
    • Музыка
    • Кино и Анимация
    • Автомобили
    • Животные
    • Спорт
    • Путешествия
    • Игры
    • Люди и Блоги
    • Юмор
    • Развлечения
    • Новости и Политика
    • Howto и Стиль
    • Diy своими руками
    • Образование
    • Наука и Технологии
    • Некоммерческие Организации
  • О сайте

Скачать или смотреть Calculate the thickness of a quarter- wave plate for light of wavelength 4000Å for

  • Doubtnut
  • 2020-08-29
  • 1161
Calculate the thickness of a quarter- wave plate for light of wavelength 4000Å for
  • ok logo

Скачать Calculate the thickness of a quarter- wave plate for light of wavelength 4000Å for бесплатно в качестве 4к (2к / 1080p)

У нас вы можете скачать бесплатно Calculate the thickness of a quarter- wave plate for light of wavelength 4000Å for или посмотреть видео с ютуба в максимальном доступном качестве.

Для скачивания выберите вариант из формы ниже:

  • Информация по загрузке:

Cкачать музыку Calculate the thickness of a quarter- wave plate for light of wavelength 4000Å for бесплатно в формате MP3:

Если иконки загрузки не отобразились, ПОЖАЛУЙСТА, НАЖМИТЕ ЗДЕСЬ или обновите страницу
Если у вас возникли трудности с загрузкой, пожалуйста, свяжитесь с нами по контактам, указанным в нижней части страницы.
Спасибо за использование сервиса video2dn.com

Описание к видео Calculate the thickness of a quarter- wave plate for light of wavelength 4000Å for

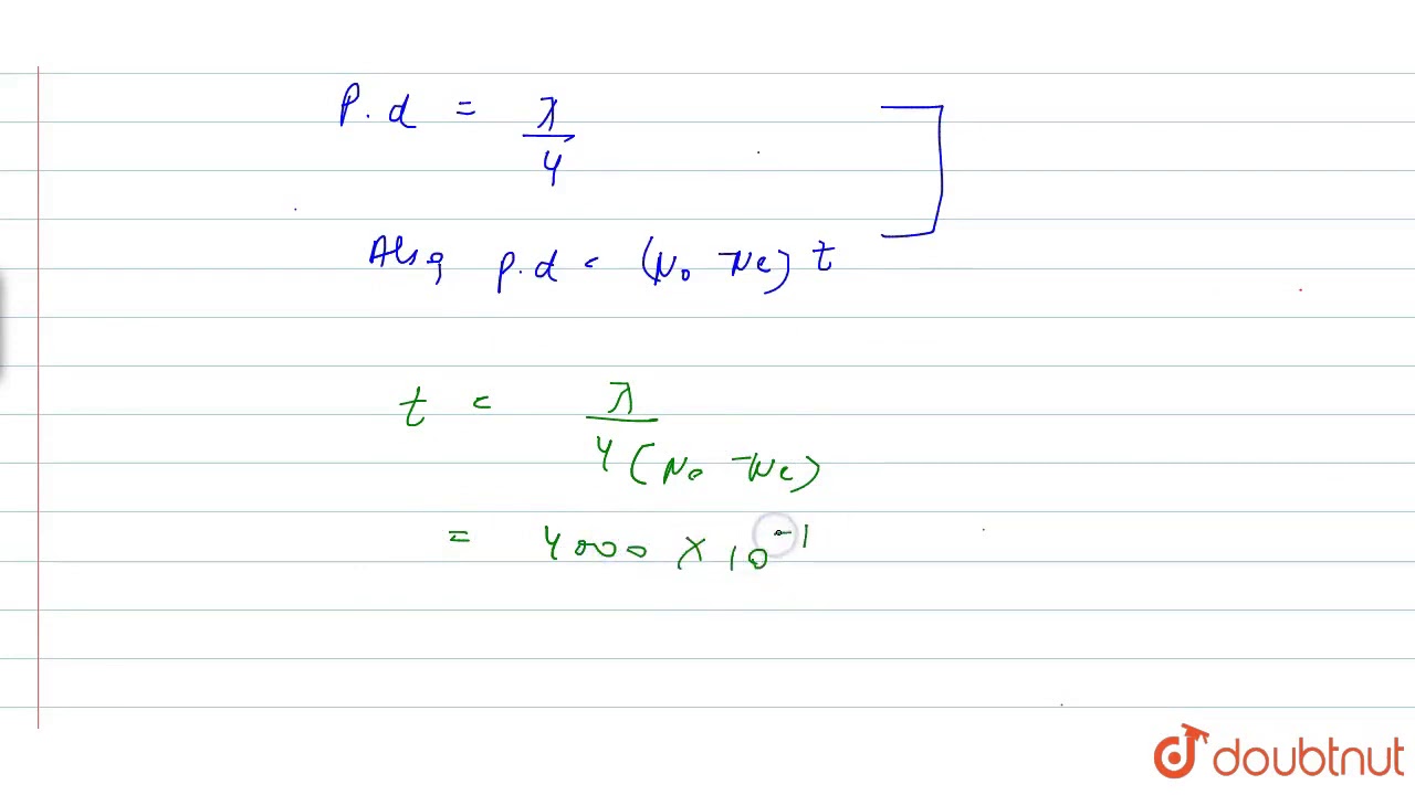
Calculate the thickness of a quarter- wave plate for light of wavelength 4000Å for which `mu_(0)=1.5632 " and "mu_(e)=1.5541.`

Комментарии

Информация по комментариям в разработке

Похожие видео

  • Class 10th IT (402) & AI (417) Maha Marathon | Employability Skills
    Class 10th IT (402) & AI (417) Maha Marathon | Employability Skills
  • Альфред Кох – Путин 1990-х, бандиты, НТВ, Навальный / вДудь
    Альфред Кох – Путин 1990-х, бандиты, НТВ, Навальный / вДудь
    4 часа назад
  • Самая Сложная Задача В Истории Самой Сложной Олимпиады
    Самая Сложная Задача В Истории Самой Сложной Олимпиады
    1 год назад
  • Physics Demonstrations
    Physics Demonstrations
  • Прыгаем в чёрную дыру (ScienceCLic)
    Прыгаем в чёрную дыру (ScienceCLic)
    4 года назад
  • К телу массой 20 кг, движущемуся с начальной скоростью , приложена постоянная тормозящая сила 50 Н.
    К телу массой 20 кг, движущемуся с начальной скоростью , приложена постоянная тормозящая сила 50 Н.
    3 недели назад
  • Обращение к нации, с которого началась война (English subtitles) @Максим Кац
    Обращение к нации, с которого началась война (English subtitles) @Максим Кац
    19 часов назад
  • Путин пошёл на крайние меры / Срочное обращение к силовикам
    Путин пошёл на крайние меры / Срочное обращение к силовикам
    11 часов назад
  • In a particular system of units, a physical quantity can be expressed in terms of the electric charg
    In a particular system of units, a physical quantity can be expressed in terms of the electric charg
    2 недели назад
  • 7  ПАРАДОКСОВ БЕСКОНЕЧНОСТИ
    7 ПАРАДОКСОВ БЕСКОНЕЧНОСТИ
    1 год назад
  • ПОЧЕМУ МЭР ТАК СИЛЬНО БОИТСЯ ЖИТЕЛЕЙ В МАЙНКРАФТ | Компот Minecraft
    ПОЧЕМУ МЭР ТАК СИЛЬНО БОИТСЯ ЖИТЕЛЕЙ В МАЙНКРАФТ | Компот Minecraft
    1 час назад
  • The rate constants of a reaction at 500K and 700K are 0.02s–1 and0.07s–1 respectively. Calculate
    The rate constants of a reaction at 500K and 700K are 0.02s–1 and0.07s–1 respectively. Calculate
    7 месяцев назад
  • Елена Яковлева — от «Интердевочки» до «Чебурашки». Брак, сын и большой актерский путь
    Елена Яковлева — от «Интердевочки» до «Чебурашки». Брак, сын и большой актерский путь
    4 часа назад
  • 2h Psychedelic Colorful Neon Background | No Sound 4K
    2h Psychedelic Colorful Neon Background | No Sound 4K
    1 год назад
  • Я Обманул Экспертов Элитной Парфюмерии Спреем с Пердежом
    Я Обманул Экспертов Элитной Парфюмерии Спреем с Пердежом
    1 месяц назад
  • Полное объяснение ролика «Animation vs. Physics» (feat. @MakarSvet13)
    Полное объяснение ролика «Animation vs. Physics» (feat. @MakarSvet13)
    2 года назад
  • ДЕТИ ПУТИНА: как живут, отдыхают и где они прячутся
    ДЕТИ ПУТИНА: как живут, отдыхают и где они прячутся
    7 часов назад
  • ⚡️НОВОСТИ | УДАР ВСУ ПО ХИМЗАВОДУ: 7 ПОГИБШИХ | ВЫБРОСЫ ПОД МОСКВОЙ | ТРАМП ГОТОВИТСЯ К АТАКЕ ИРАНА
    ⚡️НОВОСТИ | УДАР ВСУ ПО ХИМЗАВОДУ: 7 ПОГИБШИХ | ВЫБРОСЫ ПОД МОСКВОЙ | ТРАМП ГОТОВИТСЯ К АТАКЕ ИРАНА
    2 часа назад
  • 3 популярные ЗАДАЧИ на ЛОГИКУ для детей-гениев!
    3 популярные ЗАДАЧИ на ЛОГИКУ для детей-гениев!
    1 день назад
  • Каждый День Случайно Добавляется Чанк (100 дней)
    Каждый День Случайно Добавляется Чанк (100 дней)
    1 день назад
  • О нас
  • Контакты
  • Отказ от ответственности - Disclaimer
  • Условия использования сайта - TOS
  • Политика конфиденциальности

video2dn Copyright © 2023 - 2025

Контакты для правообладателей [email protected]