Logo video2dn
  • Сохранить видео с ютуба
  • Категории
    • Музыка
    • Кино и Анимация
    • Автомобили
    • Животные
    • Спорт
    • Путешествия
    • Игры
    • Люди и Блоги
    • Юмор
    • Развлечения
    • Новости и Политика
    • Howto и Стиль
    • Diy своими руками
    • Образование
    • Наука и Технологии
    • Некоммерческие Организации
  • О сайте

Скачать или смотреть MONSTRO EXPONENCIAL 😱 Que Vira Gatinho! Você Resolve?

  • Professora Alexandra Maia
  • 2026-02-20
  • 3889
MONSTRO EXPONENCIAL 😱 Que Vira Gatinho! Você Resolve?
  • ok logo

Скачать MONSTRO EXPONENCIAL 😱 Que Vira Gatinho! Você Resolve? бесплатно в качестве 4к (2к / 1080p)

У нас вы можете скачать бесплатно MONSTRO EXPONENCIAL 😱 Que Vira Gatinho! Você Resolve? или посмотреть видео с ютуба в максимальном доступном качестве.

Для скачивания выберите вариант из формы ниже:

  • Информация по загрузке:

Cкачать музыку MONSTRO EXPONENCIAL 😱 Que Vira Gatinho! Você Resolve? бесплатно в формате MP3:

Если иконки загрузки не отобразились, ПОЖАЛУЙСТА, НАЖМИТЕ ЗДЕСЬ или обновите страницу
Если у вас возникли трудности с загрузкой, пожалуйста, свяжитесь с нами по контактам, указанным в нижней части страницы.
Спасибо за использование сервиса video2dn.com

Описание к видео MONSTRO EXPONENCIAL 😱 Que Vira Gatinho! Você Resolve?

🙋🏼‍♀️Fala, pessoal!

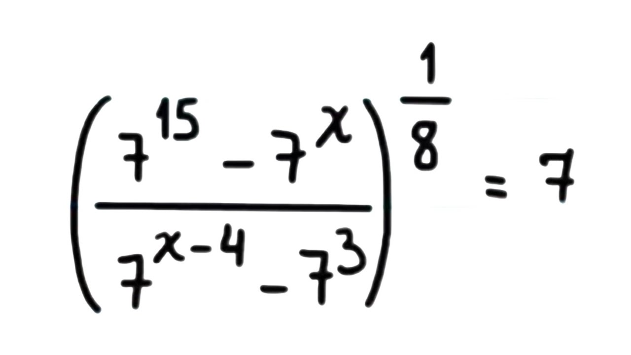
Essa equação exponencial parece um verdadeiro monstro à primeira vista. Potências diferentes, somas no numerador, somas no denominador… parece impossível simplificar. Mas será que é mesmo?

Neste vídeo da série “Monstros que Viram Gatinhos”, você vai descobrir como utilizar propriedades de potenciação, fatoração e logaritmos para transformar uma expressão aparentemente complicada em uma equação simples e elegante. Ao reconhecer padrões como 6^x = (2·3)^x e aplicar corretamente as propriedades das potências, a simplificação acontece de forma natural.

Esse tipo de questão aparece em provas, vestibulares, concursos e desafios matemáticos que exigem raciocínio algébrico e domínio de exponenciais. Aprender a identificar fatores comuns e usar logaritmos com estratégia pode mudar completamente sua forma de enxergar matemática.

Se você gosta de desafios matemáticos, equações exponenciais e truques inteligentes, este vídeo é para você.

Será que esse monstro vai virar gatinho nas suas mãos?

Se gostarem da aula deixem um Like! 👍

Bora estudar!

Espero que vocês gostem! 🧡

Qualquer dúvida deixe 👇 nos comentários!

Foca na aula!

▶ Compartilhem esse vídeo! 👇
   • MONSTRO EXPONENCIAL 😱 Que Vira Gatinho! Vo...  

==============================

👑 "A matemática é a rainha das ciências (...)"
Carl Friedrich Gauss

==============================

💡 Veja tudo que uso para produzir as minhas aulas.

Kit YouTuber - https://amzn.to/3qucQgh
Microfone sem Fio dois por um Profissional - https://amzn.to/3OAelRX
Gravação Galaxy Note (256 GB, 8 GB) de 6,3" AMOLED - https://amzn.to/3P4piNr
Tripé para celular – https://amzn.to/3YBAiVE
Quadro Branco UV Moldura Aluminio Standard STALO - https://amzn.to/3qkBujy
Apagador Quadro Branco Pilot, 150N, Multicor - https://amzn.to/3Ywq0Ge
Kit 4 Marcadores de Quadro Branco BIC Marking Cores Clássicas - https://amzn.to/3OUdI7n
Garrafa de Água Resistente 750 Ml Aço Inox - https://amzn.to/47toYig
PC Dell Optiplex Intel Core i7, 16GB RAM DDR3, HD 1TB + SSD 120GB - https://amzn.to/3YusmW9
Mesa De Escritório 1.40x60 Tampo 30mm (Nogal) – https://amzn.to/3qvF22m
Estante Elegante 3 Torres com 1 Gaveteiro e 2 Porta – https://amzn.to/45iUduI

👉Se tiver dificuldade em estudar, assista a esse vídeo com 10 dicas para estudar matemática:    • Como estudar Matemática 10 dicas super fác...  

✅ Procure sobre outros assuntos nas Playlists:

⏩ A Matemática é Linda!
   • A Matemática é linda!  

⏩ Análise Combinatória
   • Análise Combinatória  

⏩ Área e Perímetro de figuras Planas
   • Área e Perímetro de Figuras Planas  

⏩ Conjuntos
   • Conjuntos  

⏩ Equação do 1° grau
   • Equação do 1° grau  

⏩ Equação do 2° grau
   • Equação do 2° grau  

⏩ Escala
   • Escala  

⏩ Estatística e Probabilidade
   • Estatística e Probabilidade  

⏩ Exponencial
   • Exponencial  

⏩Expressões Algébricas
   • Expressões Algébricas  

⏩Expressões Numéricas
   • Expressões Numéricas  

⏩ Frações
   • Frações  

⏩ Função Afim
   • Função do 1° grau (Função Afim)  

⏩ Função Quadrática
   • Função do 2° grau (quadrática)  

⏩ Geometria
   • Geometria  

⏩ Logaritmo
   • Logaritmo  

⏩ Matemática Financeira
   • Matemática financeira  

⏩ Matriz e Sistemas Lineares
   • Matriz e Sistemas lineares  

⏩ Porcentagem
   • Porcentagem  

⏩ Potência
   • Potência  

⏩ Questões do enem
   • Questões do Enem  

⏩ Raciocínio Lógico
   • Raciocínio Lógico  

⏩ Radiciação
   • Radiciação (Raiz quadrada, cúbica...)  

⏩ Regra de Três
   • Regra de três  

⏩ Trigonometria
   • Trigonometria  

⏩ Unidades de Medida
   • Unidades de medida  

⏩ Volume
   • Volume  



#Abc8arokEz

Комментарии

Информация по комментариям в разработке

Похожие видео

  • ✅ 95% DESISTEM! Resolva essa equação com RAIZ QUADRADA
    ✅ 95% DESISTEM! Resolva essa equação com RAIZ QUADRADA
    10 дней назад
  • Essa Equação Exponencial é Top! Tem que Usar Artifício
    Essa Equação Exponencial é Top! Tem que Usar Artifício
    5 месяцев назад
  • Alemanha | Você consegue resolver isso? | Problema da Olimpíada de Matemática
    Alemanha | Você consegue resolver isso? | Problema da Olimpíada de Matemática
    5 дней назад
  • 🔥 DESAFIO: Equação Exponencial que Parece Difícil mas é Fácil! BORA?
    🔥 DESAFIO: Equação Exponencial que Parece Difícil mas é Fácil! BORA?
    2 месяца назад
  • 🔴 POUCOS CONSEGUEM: Exame de Matemática do 6º Ano na China: Você Seria Aprovado?
    🔴 POUCOS CONSEGUEM: Exame de Matemática do 6º Ano na China: Você Seria Aprovado?
    8 дней назад
  • ПАРАМЕТР из СЕКРЕТНОГО тгк ЯЩЕНКО? ЧТООООО?
    ПАРАМЕТР из СЕКРЕТНОГО тгк ЯЩЕНКО? ЧТООООО?
    6 дней назад
  • Geometry Puzzle – Can You Find The Missing Length?
    Geometry Puzzle – Can You Find The Missing Length?
    1 день назад
  • Хитрости собеседования в Гарвардском университете.
    Хитрости собеседования в Гарвардском университете.
    3 месяца назад
  • ОСНОВНАЯ ТЕОРЕМА АРИФМЕТИКИ С НУЛЯ, ПРОЙДЕННАЯ ЭКСТРАВАГАНТНОЙ ТРОПОЙ!
    ОСНОВНАЯ ТЕОРЕМА АРИФМЕТИКИ С НУЛЯ, ПРОЙДЕННАЯ ЭКСТРАВАГАНТНОЙ ТРОПОЙ!
    2 дня назад
  • Никогда ничего подобного не видел! 🤯
    Никогда ничего подобного не видел! 🤯
    4 дня назад
  • 🔥EXERCÍCIO PARA O CÉREBRO
    🔥EXERCÍCIO PARA O CÉREBRO
    9 месяцев назад
  • 💦 95% NÃO CONSEGUEM Resolver Esse Desafio dos 3 Baldes!
    💦 95% NÃO CONSEGUEM Resolver Esse Desafio dos 3 Baldes!
    1 день назад
  • Анонимности БОЛЬШЕ НЕТ. Почему в 2026-м тебя найдут за 5 минут?
    Анонимности БОЛЬШЕ НЕТ. Почему в 2026-м тебя найдут за 5 минут?
    11 часов назад
  • КВАДРАТНЫЕ УРАВНЕНИЯ С ПОМОЩЬЮ ВЫСШЕЙ МАТЕМАТИКИ??? | ЗАБУДЬ ПРО ДИСКРИМИНАНТ И ТЕОРЕМУ ВИЕТА!!!
    КВАДРАТНЫЕ УРАВНЕНИЯ С ПОМОЩЬЮ ВЫСШЕЙ МАТЕМАТИКИ??? | ЗАБУДЬ ПРО ДИСКРИМИНАНТ И ТЕОРЕМУ ВИЕТА!!!
    4 дня назад
  • Usei FATORAÇÃO NÍVEL HARD para resolver essa equação! 🤯
    Usei FATORAÇÃO NÍVEL HARD para resolver essa equação! 🤯
    7 месяцев назад
  • Германия | Интересная задача по алгебре для математической олимпиады
    Германия | Интересная задача по алгебре для математической олимпиады
    2 недели назад
  • Monstro ou Gatinho? 😱 Simplifique essa expressão numérica!
    Monstro ou Gatinho? 😱 Simplifique essa expressão numérica!
    2 недели назад
  • К чему ведут новые законы по недвижимости синхронно во всем мире.
    К чему ведут новые законы по недвижимости синхронно во всем мире.
    6 часов назад
  • Aprenda a calcular QUALQUER raiz com um único método.
    Aprenda a calcular QUALQUER raiz com um único método.
    2 недели назад
  • Задача века решена!
    Задача века решена!
    1 год назад
  • О нас
  • Контакты
  • Отказ от ответственности - Disclaimer
  • Условия использования сайта - TOS
  • Политика конфиденциальности

video2dn Copyright © 2023 - 2025

Контакты для правообладателей video2contact@gmail.com