Logo video2dn
  • Сохранить видео с ютуба
  • Категории
    • Музыка
    • Кино и Анимация
    • Автомобили
    • Животные
    • Спорт
    • Путешествия
    • Игры
    • Люди и Блоги
    • Юмор
    • Развлечения
    • Новости и Политика
    • Howto и Стиль
    • Diy своими руками
    • Образование
    • Наука и Технологии
    • Некоммерческие Организации
  • О сайте

Скачать или смотреть Matemáticas Aplicadas a las Ciencias Sociales II: Junio 2016 - Opción B

  • Universidad Miguel Hernández de Elche
  • 2017-05-10
  • 8622
Matemáticas Aplicadas a las Ciencias Sociales II: Junio 2016 - Opción B
  • ok logo

Скачать Matemáticas Aplicadas a las Ciencias Sociales II: Junio 2016 - Opción B бесплатно в качестве 4к (2к / 1080p)

У нас вы можете скачать бесплатно Matemáticas Aplicadas a las Ciencias Sociales II: Junio 2016 - Opción B или посмотреть видео с ютуба в максимальном доступном качестве.

Для скачивания выберите вариант из формы ниже:

  • Информация по загрузке:

Cкачать музыку Matemáticas Aplicadas a las Ciencias Sociales II: Junio 2016 - Opción B бесплатно в формате MP3:

Если иконки загрузки не отобразились, ПОЖАЛУЙСТА, НАЖМИТЕ ЗДЕСЬ или обновите страницу
Если у вас возникли трудности с загрузкой, пожалуйста, свяжитесь с нами по контактам, указанным в нижней части страницы.
Спасибо за использование сервиса video2dn.com

Описание к видео Matemáticas Aplicadas a las Ciencias Sociales II: Junio 2016 - Opción B

Más vídeos de la colección en el siguiente link: http://bit.ly/2nGLhdd

Banco de Exámenes de la UMH.
Pruebas de Acceso a la Universidad (P.A.U.)
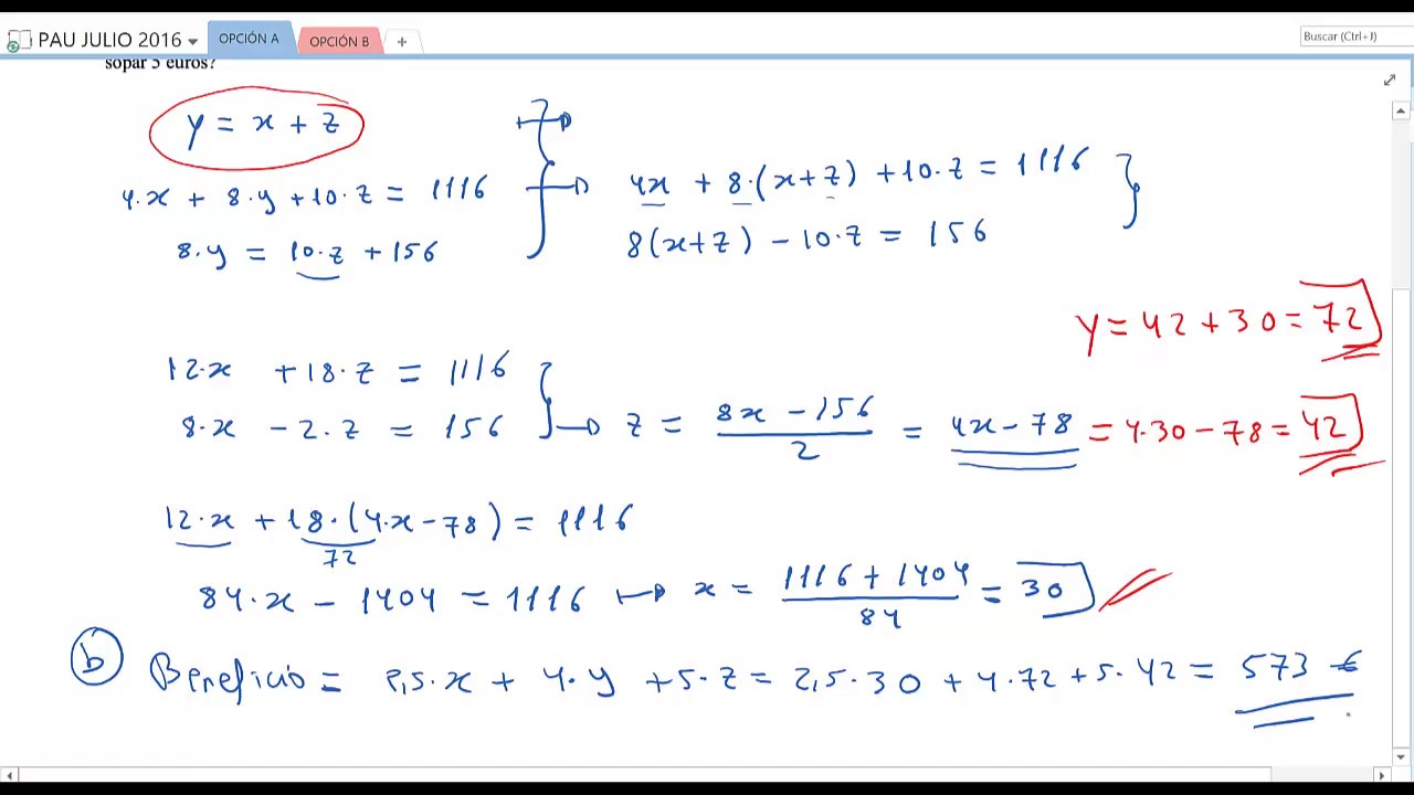
Convocatoria: Junio de 2016 - Opción A
Asignatura: Matemáticas Aplicadas a las Ciencias Sociales II
Profesor: Juan Francisco Monge Ivars

web: http://bancdelaselectivitat.edu.umh.es/

Комментарии

Информация по комментариям в разработке

Похожие видео

  • Matemáticas Aplicadas a las Ciencias Sociales II: Julio 2016 - Opción A
    Matemáticas Aplicadas a las Ciencias Sociales II: Julio 2016 - Opción A
    8 лет назад
  • LIVE!!! MODELO EVAU 2021 - MATEMATICAS CCSS 08 - EJERCICIO A.1 - Matrices
    LIVE!!! MODELO EVAU 2021 - MATEMATICAS CCSS 08 - EJERCICIO A.1 - Matrices
    4 года назад
  • Banco de Exámenes 2.018 - UMH - Pruebas de Acceso a la Universidad (P.A.U.)
    Banco de Exámenes 2.018 - UMH - Pruebas de Acceso a la Universidad (P.A.U.)
  • Твои 70 баллов за 15 минут. Задачи первой части. Профильный ЕГЭ 2025
    Твои 70 баллов за 15 минут. Задачи первой части. Профильный ЕГЭ 2025
    1 год назад
  • КАК ЗАПОМНИТЬ ТРИГОНОМЕТРИЧЕСКИЕ ФОРМУЛЫ
    КАК ЗАПОМНИТЬ ТРИГОНОМЕТРИЧЕСКИЕ ФОРМУЛЫ
    3 года назад
  • ВСУ готовят наступление? Израиль пошел на Хезболлу, Путин поздравил Хаменеи. Орешкин, Эггерт,Шепелин
    ВСУ готовят наступление? Израиль пошел на Хезболлу, Путин поздравил Хаменеи. Орешкин, Эггерт,Шепелин
  • Задача из вступительных Стэнфорда
    Задача из вступительных Стэнфорда
    3 года назад
  • Кто переживет войну в Иране?
    Кто переживет войну в Иране?
    10 часов назад
  • Эта задача из МГУ пугает школьников! Разбор нестандартного НЕРВЕНСТВА!
    Эта задача из МГУ пугает школьников! Разбор нестандартного НЕРВЕНСТВА!
    1 день назад
  • ВСЯ ТРИГОНОМЕТРИЯ ЗА 20 МИНУТ БЕЗ ЗУБРЕЖКИ!
    ВСЯ ТРИГОНОМЕТРИЯ ЗА 20 МИНУТ БЕЗ ЗУБРЕЖКИ!
    2 года назад
  • ⚡️ Военные НАТО открыли огонь || Сбит самолёт Украины
    ⚡️ Военные НАТО открыли огонь || Сбит самолёт Украины
    3 часа назад
  • Лукашенко делает заказ в Mak.by: Берём по максимуму! Не жалей денег!
    Лукашенко делает заказ в Mak.by: Берём по максимуму! Не жалей денег!
    1 день назад
  • Липсиц. Шок! В Украину пришла беда! Начинается самое ужасное! Мир идет к гибели! США сдают Тайвань!
    Липсиц. Шок! В Украину пришла беда! Начинается самое ужасное! Мир идет к гибели! США сдают Тайвань!
    2 часа назад
  • Вот почему следует ЗАПРЕТИТЬ формулу ДИСКРИМИНАНТА
    Вот почему следует ЗАПРЕТИТЬ формулу ДИСКРИМИНАНТА
    1 год назад
  • Симоньян против декабристок. Путин поздравляет подруг. Гарик Харламов высмеивает Клару Цеткин
    Симоньян против декабристок. Путин поздравляет подруг. Гарик Харламов высмеивает Клару Цеткин
    3 часа назад
  • Если долго доставать венгров… Ответка
    Если долго доставать венгров… Ответка
    1 день назад
  • Скотт Риттер: Иран 7-минут назад срочно!
    Скотт Риттер: Иран 7-минут назад срочно!
    5 часов назад
  • INTEL 18A — БАТЯ ВЕРНУЛСЯ
    INTEL 18A — БАТЯ ВЕРНУЛСЯ
    1 день назад
  • ШУЛЬМАН: новая мобилизация, уход Путина, смута. Чебурнет. Большое интервью / МОЖЕМ ОБЪЯСНИТЬ
    ШУЛЬМАН: новая мобилизация, уход Путина, смута. Чебурнет. Большое интервью / МОЖЕМ ОБЪЯСНИТЬ
    1 день назад
  • Пентагон готовит дерзкую операцию против Ирана / Тайная игра Трампа и Нетаньяху /№1107/ Юрий Швец
    Пентагон готовит дерзкую операцию против Ирана / Тайная игра Трампа и Нетаньяху /№1107/ Юрий Швец
    10 часов назад
  • О нас
  • Контакты
  • Отказ от ответственности - Disclaimer
  • Условия использования сайта - TOS
  • Политика конфиденциальности

video2dn Copyright © 2023 - 2025

Контакты для правообладателей video2contact@gmail.com