Logo video2dn
  • Сохранить видео с ютуба
  • Категории
    • Музыка
    • Кино и Анимация
    • Автомобили
    • Животные
    • Спорт
    • Путешествия
    • Игры
    • Люди и Блоги
    • Юмор
    • Развлечения
    • Новости и Политика
    • Howto и Стиль
    • Diy своими руками
    • Образование
    • Наука и Технологии
    • Некоммерческие Организации
  • О сайте

Скачать или смотреть Неодређени интеграли - метода смене 3

  • Школа Рајак
  • 2012-02-28
  • 37397
Неодређени интеграли - метода смене 3
  • ok logo

Скачать Неодређени интеграли - метода смене 3 бесплатно в качестве 4к (2к / 1080p)

У нас вы можете скачать бесплатно Неодређени интеграли - метода смене 3 или посмотреть видео с ютуба в максимальном доступном качестве.

Для скачивания выберите вариант из формы ниже:

  • Информация по загрузке:

Cкачать музыку Неодређени интеграли - метода смене 3 бесплатно в формате MP3:

Если иконки загрузки не отобразились, ПОЖАЛУЙСТА, НАЖМИТЕ ЗДЕСЬ или обновите страницу
Если у вас возникли трудности с загрузкой, пожалуйста, свяжитесь с нами по контактам, указанным в нижней части страницы.
Спасибо за использование сервиса video2dn.com

Описание к видео Неодређени интеграли - метода смене 3

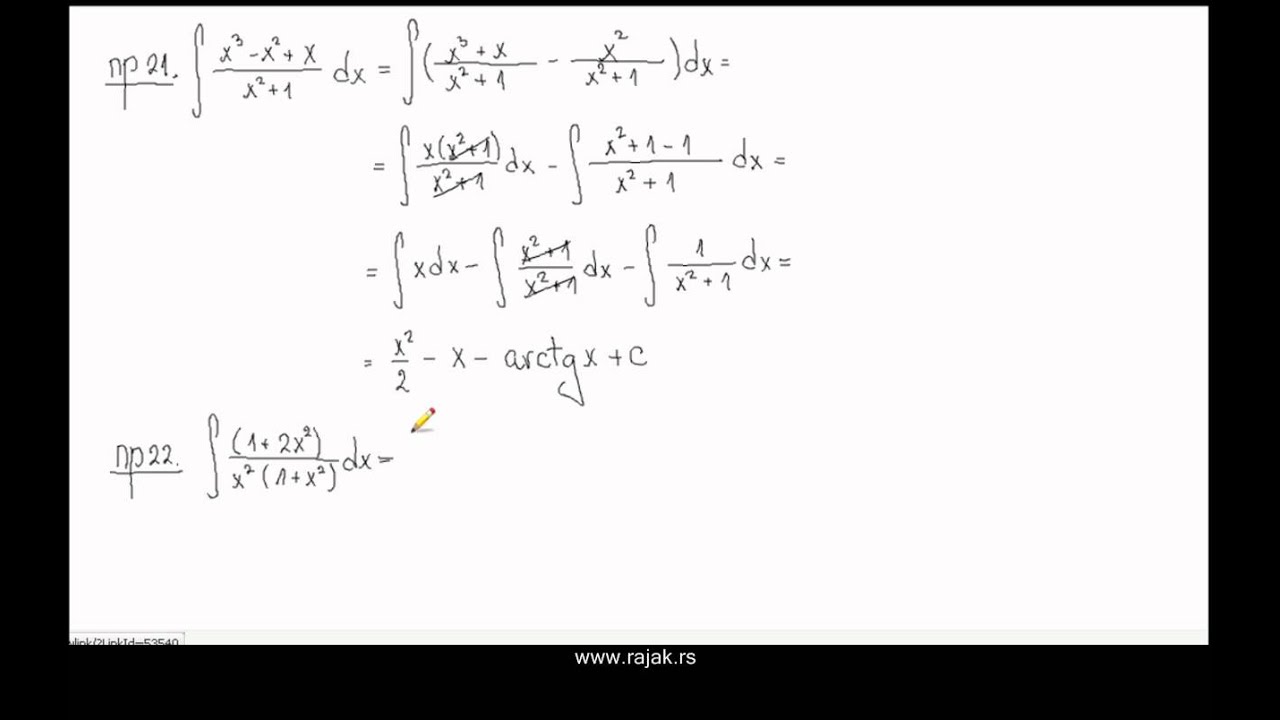
Интеграли. Особине интеграла. Метода смене. Сложенији примери.

Математички клуб Школе Рајак је место где пружамо свакодневну подршку.
Видео записи овог типа су један вид подршке.
Више информација о томе како да постанете члан, шта тиме добијате, која је цена чланарине на линку:
https://www.rajak.rs/onlajn-casovi/ca...

==============
Контакт

e-mail:
skolarajak@gmail.com
Веб сајт школе:
http://www.rajak.rs

Комментарии

Информация по комментариям в разработке

Похожие видео

  • Неодређени интеграли - метода смене 4
    Неодређени интеграли - метода смене 4
    14 лет назад
  • Неодређени интеграли - метода смене 5
    Неодређени интеграли - метода смене 5
    14 лет назад
  • π is neither a MAGNITUDE nor a NUMBER. π is a CONSTANT.
    π is neither a MAGNITUDE nor a NUMBER. π is a CONSTANT.
    4 часа назад
  • Неодређени интеграли 4
    Неодређени интеграли 4
    14 лет назад
  • Четврти разред средње школе
    Четврти разред средње школе
  • Савватеев разоблачает фокусы Земскова
    Савватеев разоблачает фокусы Земскова
    1 месяц назад
  • ⚡ Удары по штабам и нефтехранилищам Ирана. Тегеран грозит сверхмощным ответом. 10.03.2026
    ⚡ Удары по штабам и нефтехранилищам Ирана. Тегеран грозит сверхмощным ответом. 10.03.2026
    3 часа назад
  • Неодређени интеграли - парцијална интеграција 1
    Неодређени интеграли - парцијална интеграција 1
    13 лет назад
  • Комплексные числа: коротко и понятно – Алексей Савватеев | Лекции по математике | Научпоп
    Комплексные числа: коротко и понятно – Алексей Савватеев | Лекции по математике | Научпоп
    2 года назад
  • Интеграл: Азы интегрирования. Высшая математика
    Интеграл: Азы интегрирования. Высшая математика
    6 лет назад
  • Савватеев решает ГРОБОВОЙ ПАРАМЕТР из ЕГЭ! Что он думает о ЕГЭ НА САМОМ ДЕЛЕ?
    Савватеев решает ГРОБОВОЙ ПАРАМЕТР из ЕГЭ! Что он думает о ЕГЭ НА САМОМ ДЕЛЕ?
    6 месяцев назад
  • Владимир Жириновский дал прогноз по ситуации с Ираном
    Владимир Жириновский дал прогноз по ситуации с Ираном
    6 лет назад
  • Neodređeni integrali. Metoda smene
    Neodređeni integrali. Metoda smene
    5 лет назад
  • Что происходит внутри Ирана? | Варламов — о последствиях войны США и Израиля против Ирана
    Что происходит внутри Ирана? | Варламов — о последствиях войны США и Израиля против Ирана
    5 часов назад
  • как выучить математику с 0 бесплатно | Влад Тен
    как выучить математику с 0 бесплатно | Влад Тен
    3 дня назад
  • Одређени интеграл 3
    Одређени интеграл 3
    13 лет назад
  • Неодређени интеграли - метода смене 2
    Неодређени интеграли - метода смене 2
    14 лет назад
  • Государство против нового телика | Почему душат блогеров (English subtitles)
    Государство против нового телика | Почему душат блогеров (English subtitles)
    5 часов назад
  • Жириновский: остатки Ирана и Турции войдут в состав России! Воскресный вечер с Соловьевым. 13.05.18
    Жириновский: остатки Ирана и Турции войдут в состав России! Воскресный вечер с Соловьевым. 13.05.18
    7 лет назад
  • Неодређени интеграли 1
    Неодређени интеграли 1
    14 лет назад
  • О нас
  • Контакты
  • Отказ от ответственности - Disclaimer
  • Условия использования сайта - TOS
  • Политика конфиденциальности

video2dn Copyright © 2023 - 2025

Контакты для правообладателей video2contact@gmail.com