Logo video2dn
  • Сохранить видео с ютуба
  • Категории
    • Музыка
    • Кино и Анимация
    • Автомобили
    • Животные
    • Спорт
    • Путешествия
    • Игры
    • Люди и Блоги
    • Юмор
    • Развлечения
    • Новости и Политика
    • Howto и Стиль
    • Diy своими руками
    • Образование
    • Наука и Технологии
    • Некоммерческие Организации
  • О сайте

Скачать или смотреть Bodacious Burger, Inc., claims that the average weight of its "Pi Over Twelve" burger is 0.2618 lb.…

  • Robin Hart
  • 2025-11-25
  • 2
Bodacious Burger, Inc., claims that the average weight of its "Pi Over Twelve" burger is 0.2618 lb.…
Hypothesis Testing with One Sample: A Comprehensive GuideUnderstanding Null & Alternative Hypotheses: Key Concepts
  • ok logo

Скачать Bodacious Burger, Inc., claims that the average weight of its "Pi Over Twelve" burger is 0.2618 lb.… бесплатно в качестве 4к (2к / 1080p)

У нас вы можете скачать бесплатно Bodacious Burger, Inc., claims that the average weight of its "Pi Over Twelve" burger is 0.2618 lb.… или посмотреть видео с ютуба в максимальном доступном качестве.

Для скачивания выберите вариант из формы ниже:

  • Информация по загрузке:

Cкачать музыку Bodacious Burger, Inc., claims that the average weight of its "Pi Over Twelve" burger is 0.2618 lb.… бесплатно в формате MP3:

Если иконки загрузки не отобразились, ПОЖАЛУЙСТА, НАЖМИТЕ ЗДЕСЬ или обновите страницу
Если у вас возникли трудности с загрузкой, пожалуйста, свяжитесь с нами по контактам, указанным в нижней части страницы.
Спасибо за использование сервиса video2dn.com

Описание к видео Bodacious Burger, Inc., claims that the average weight of its "Pi Over Twelve" burger is 0.2618 lb.…

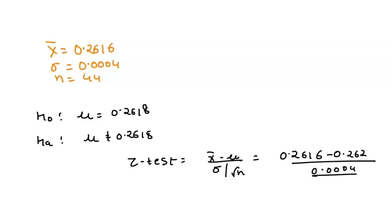
Bodacious Burger, Inc., claims that the average weight of its quot;Pi Over Twelve quot; burger is 0.2618 lb. Jorge, however, has weighed 44 of these burgers and found a mean weight of 0.2616 lb and a standard deviation of 0.0004 lb, and intends to test the company #x27;s claim using this data. Perform the test for him at the 0.01 significance level and answer the questions below. To two decimal places, p= Conclusion: A. Reject the null hypothesis B. Do not reject the null hypothesis

Watch the full video at:
https://www.numerade.com/ask/question...

Never get lost on homework again. Numerade is a STEM learning website and app with the world’s largest STEM video library.
Join today and access millions of expert-created videos, each one skillfully crafted to teach you how to solve tough problems step-by-step.

Join Numerade today at:
https://www.numerade.com/signup/?utm_...
#HypothesisTestingwithOneSample:AComprehensiveGuide #UnderstandingNull&AlternativeHypotheses:KeyConcepts

Комментарии

Информация по комментариям в разработке

Похожие видео

  • О нас
  • Контакты
  • Отказ от ответственности - Disclaimer
  • Условия использования сайта - TOS
  • Политика конфиденциальности

video2dn Copyright © 2023 - 2025

Контакты для правообладателей [email protected]