Logo video2dn
  • Сохранить видео с ютуба
  • Категории
    • Музыка
    • Кино и Анимация
    • Автомобили
    • Животные
    • Спорт
    • Путешествия
    • Игры
    • Люди и Блоги
    • Юмор
    • Развлечения
    • Новости и Политика
    • Howto и Стиль
    • Diy своими руками
    • Образование
    • Наука и Технологии
    • Некоммерческие Организации
  • О сайте

Скачать или смотреть Singly ionized carbon atoms are accelerated through 1.00 ×10^3 V and passed into a…

  • Numerade Homework Help
  • 2024-07-20
  • 3
Singly ionized carbon atoms are accelerated through 1.00 ×10^3 V and passed into a…
  • ok logo

Скачать Singly ionized carbon atoms are accelerated through 1.00 ×10^3 V and passed into a… бесплатно в качестве 4к (2к / 1080p)

У нас вы можете скачать бесплатно Singly ionized carbon atoms are accelerated through 1.00 ×10^3 V and passed into a… или посмотреть видео с ютуба в максимальном доступном качестве.

Для скачивания выберите вариант из формы ниже:

  • Информация по загрузке:

Cкачать музыку Singly ionized carbon atoms are accelerated through 1.00 ×10^3 V and passed into a… бесплатно в формате MP3:

Если иконки загрузки не отобразились, ПОЖАЛУЙСТА, НАЖМИТЕ ЗДЕСЬ или обновите страницу
Если у вас возникли трудности с загрузкой, пожалуйста, свяжитесь с нами по контактам, указанным в нижней части страницы.
Спасибо за использование сервиса video2dn.com

Описание к видео Singly ionized carbon atoms are accelerated through 1.00 ×10^3 V and passed into a…

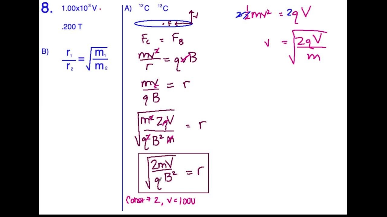
Singly ionized carbon atoms are accelerated through 1.00 ×10^3 V and passed into a mass spectrometer to determine the isotopes present. (See Topic 19.) The magnetic field strength in the spectrometer is 0.200 T. (a) Determine the orbital radii for the ^12 C and the ^13 C isotopes as they pass through the field. (b) Show that the ratio of the radii may be written in the form r_1/r_2=√(m_1/m_2) and verify that your radii in part (a) satisfy this formula.

Watch the full video at:
https://www.numerade.com/ask/question...

Never get lost on homework again. Numerade is a STEM learning website and app with the world’s largest STEM video library.
Join today and access millions of expert-created videos, each one skillfully crafted to teach you how to solve tough problems step-by-step.

Join Numerade today at:
https://www.numerade.com/signup/?utm_...

Комментарии

Информация по комментариям в разработке

Похожие видео

  • О нас
  • Контакты
  • Отказ от ответственности - Disclaimer
  • Условия использования сайта - TOS
  • Политика конфиденциальности

video2dn Copyright © 2023 - 2025

Контакты для правообладателей [email protected]