Logo video2dn
  • Сохранить видео с ютуба
  • Категории
    • Музыка
    • Кино и Анимация
    • Автомобили
    • Животные
    • Спорт
    • Путешествия
    • Игры
    • Люди и Блоги
    • Юмор
    • Развлечения
    • Новости и Политика
    • Howto и Стиль
    • Diy своими руками
    • Образование
    • Наука и Технологии
    • Некоммерческие Организации
  • О сайте

Скачать или смотреть Transitive Relation

  • Hayashi Manabu
  • 2021-09-10
  • 514
Transitive Relation
  • ok logo

Скачать Transitive Relation бесплатно в качестве 4к (2к / 1080p)

У нас вы можете скачать бесплатно Transitive Relation или посмотреть видео с ютуба в максимальном доступном качестве.

Для скачивания выберите вариант из формы ниже:

  • Информация по загрузке:

Cкачать музыку Transitive Relation бесплатно в формате MP3:

Если иконки загрузки не отобразились, ПОЖАЛУЙСТА, НАЖМИТЕ ЗДЕСЬ или обновите страницу
Если у вас возникли трудности с загрузкой, пожалуйста, свяжитесь с нами по контактам, указанным в нижней части страницы.
Спасибо за использование сервиса video2dn.com

Описание к видео Transitive Relation

REMARKS:
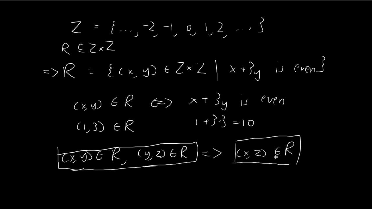
1. ≤ is transitive, because if x ≤ y and y ≤ z, then x ≤ z.

2. The relation in the example is actually also reflexive and symmetric. You can try verifying the latter two properties yourself as an exercise.

3. I used rather simplistic and contrived examples in the videos on reflexive and symmetric relations because those were easy to verify, but transitive relations are a bit more annoying and unsatisfying to just check by enumerating every case, so I decided to use a more interesting example for this video.

4. Similar to symmetric relations, the empty set is also transitive. The reason is because the conditional statement in the definition of a transitive relation is vacuously true (xRy and yRz is always false, because aRb is always false for any a, b ∈ A).

5. 'Similarity' in geometry is also transitive. If triangle A is similar to triangle B and triangle B is similar to triangle C, then triangle A must be similar to triangle C.

6. The 'has the same birthday as' relation is also transitive. If Harry has the same birthday as Ron and Ron has the same birthday as Hermione, then of course Harry and Hermione also share the same birthday.

7. Equality is also transitive, because if x = y and y = z, then x = z.

0:00 - 1:10 Introduction
1:11 - 5:06 Example

Комментарии

Информация по комментариям в разработке

Похожие видео

  • О нас
  • Контакты
  • Отказ от ответственности - Disclaimer
  • Условия использования сайта - TOS
  • Политика конфиденциальности

video2dn Copyright © 2023 - 2025

Контакты для правообладателей [email protected]