Logo video2dn
  • Сохранить видео с ютуба
  • Категории
    • Музыка
    • Кино и Анимация
    • Автомобили
    • Животные
    • Спорт
    • Путешествия
    • Игры
    • Люди и Блоги
    • Юмор
    • Развлечения
    • Новости и Политика
    • Howto и Стиль
    • Diy своими руками
    • Образование
    • Наука и Технологии
    • Некоммерческие Организации
  • О сайте

Скачать или смотреть Законы логарифмов через интегральное определение

  • Dr Barker
  • 2025-11-27
  • 4732
Законы логарифмов через интегральное определение
  • ok logo

Скачать Законы логарифмов через интегральное определение бесплатно в качестве 4к (2к / 1080p)

У нас вы можете скачать бесплатно Законы логарифмов через интегральное определение или посмотреть видео с ютуба в максимальном доступном качестве.

Для скачивания выберите вариант из формы ниже:

  • Информация по загрузке:

Cкачать музыку Законы логарифмов через интегральное определение бесплатно в формате MP3:

Если иконки загрузки не отобразились, ПОЖАЛУЙСТА, НАЖМИТЕ ЗДЕСЬ или обновите страницу
Если у вас возникли трудности с загрузкой, пожалуйста, свяжитесь с нами по контактам, указанным в нижней части страницы.
Спасибо за использование сервиса video2dn.com

Описание к видео Законы логарифмов через интегральное определение

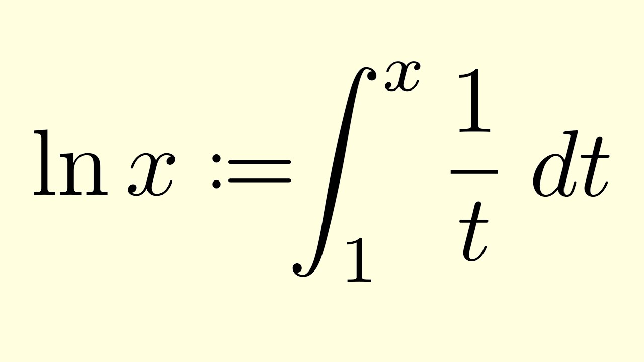
Используя интегральное свойство ln(x) = \int_1^x 1/t dt в качестве определения для ln(x), мы выводим 3 основных закона логарифмов. Это элегантное упражнение по интегрированию методом подстановки.

00:00 Определение интеграла
01:28 ln(ab) = ln(a) + ln(b)
05:15 ln(a/b) = ln(a) - ln(b)
07:29 ln(x^p) = p ln(x)

Комментарии

Информация по комментариям в разработке

Похожие видео

  • О нас
  • Контакты
  • Отказ от ответственности - Disclaimer
  • Условия использования сайта - TOS
  • Политика конфиденциальности

video2dn Copyright © 2023 - 2025

Контакты для правообладателей [email protected]