Logo video2dn
  • Сохранить видео с ютуба
  • Категории
    • Музыка
    • Кино и Анимация
    • Автомобили
    • Животные
    • Спорт
    • Путешествия
    • Игры
    • Люди и Блоги
    • Юмор
    • Развлечения
    • Новости и Политика
    • Howto и Стиль
    • Diy своими руками
    • Образование
    • Наука и Технологии
    • Некоммерческие Организации
  • О сайте

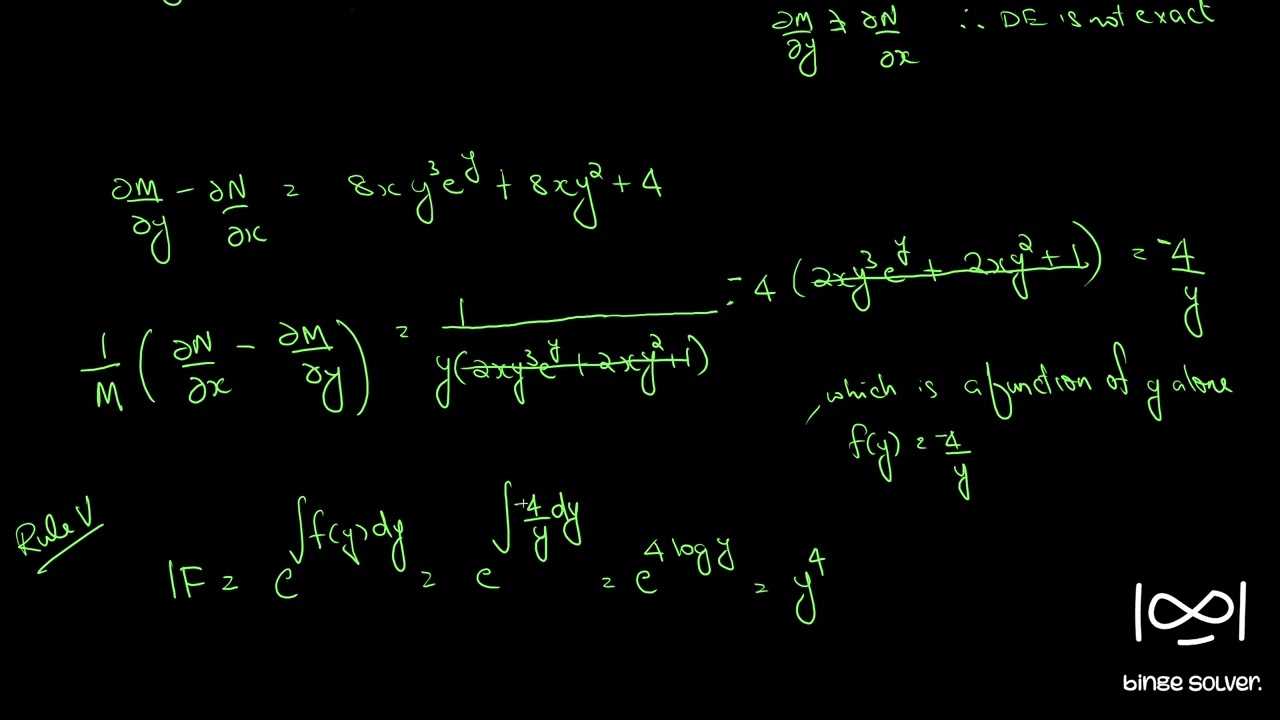
Скачать или смотреть (2xy^4e^y+2xy^3+y)dx+(x^2y^4e^y-x^2y^2-3x)dy=0

  • Maths Pulse - Chinnaiah Kalpana
  • 2022-03-21
  • 17498
(2xy^4e^y+2xy^3+y)dx+(x^2y^4e^y-x^2y^2-3x)dy=0
  • ok logo

Скачать (2xy^4e^y+2xy^3+y)dx+(x^2y^4e^y-x^2y^2-3x)dy=0 бесплатно в качестве 4к (2к / 1080p)

У нас вы можете скачать бесплатно (2xy^4e^y+2xy^3+y)dx+(x^2y^4e^y-x^2y^2-3x)dy=0 или посмотреть видео с ютуба в максимальном доступном качестве.

Для скачивания выберите вариант из формы ниже:

  • Информация по загрузке:

Cкачать музыку (2xy^4e^y+2xy^3+y)dx+(x^2y^4e^y-x^2y^2-3x)dy=0 бесплатно в формате MP3:

Если иконки загрузки не отобразились, ПОЖАЛУЙСТА, НАЖМИТЕ ЗДЕСЬ или обновите страницу
Если у вас возникли трудности с загрузкой, пожалуйста, свяжитесь с нами по контактам, указанным в нижней части страницы.
Спасибо за использование сервиса video2dn.com

Описание к видео (2xy^4e^y+2xy^3+y)dx+(x^2y^4e^y-x^2y^2-3x)dy=0

#неточноеуравнение #приводимоекточному

Привет, ребята!

Вот видео о решении неточного уравнения путём приведения заданного уравнения к точному виду. Наберитесь немного терпения и досмотрите видео до конца.

Сердечно благодарю всех подписчиков, сторонников, зрителей и доброжелателей❤

С любовью,
Чиннайя Калпана🍁

Примечание:

Обыкновенное дифференциальное уравнение (ОДУ):
Дифференциальное уравнение называется обыкновенным, если производные в нём относятся только к одной независимой переменной.

Если (1/M)[(частная производная N по x) - (частная производная M по y)] = g(y) [т.е. функция только y] (или) k [действительное число],
то exp(∫g(y)dy) (или) exp(∫kdy) является интегрирующим множителем Mdx+Ndy=0.

exp(log g(y)) = g(y)
& exp(k logy) = exp[log(y^k)] = y^k
где k — константа.

Рабочее правило для решения Mdx+Ndy=0:

1. Общее уравнение: Mdx+Ndy=0 ......(i) Заметим, что (частная производная M по y) ≠
(частная производная N по x), тогда (i) неточно.

2. Найдите (1/M)[(частная производная N по x) - (частная производная M по y)] и рассмотрите её как функцию только y = g(y) или действительной константы k.

3. Тогда exp(∫g(y)dy) или exp(∫kdy) является интегрирующим множителем уравнения (i).

4. Умножая уравнение (i) на I.F., преобразуем его в точное уравнение уравнения (i): M1dx+N1dy=0 ...(ii)

5. Решите уравнение (ii), чтобы получить общее решение уравнения (i).

Больше подобных видео 👇

   • Differential Equations- Engineering Mathem...  

Я в Instagram👇

  / mathspulse_chinnaiahkalpana  

Следите за новостями «Maths Pulse».

Избавьтесь от «математикофобии».

Счастливого обучения!

#дифференциальныеуравнения #mathspulse #chinnaiahkalpana #неточныезадачи #инженернаяматематика #BSCMathes #maths #math

Комментарии

Информация по комментариям в разработке

Похожие видео

  • Q220 Solve (2xy^4e^y + 2xy^3 + y)dx + (x^2y^4e^y - x^2y^2 - 3x)dy = 0
    Q220 Solve (2xy^4e^y + 2xy^3 + y)dx + (x^2y^4e^y - x^2y^2 - 3x)dy = 0
    3 года назад
  • (y^4+2y)dx+(xy^3+2y^4-4x)dy=0 #NonExact L599 @MathsPulseChinnaiahKalpana
    (y^4+2y)dx+(xy^3+2y^4-4x)dy=0 #NonExact L599 @MathsPulseChinnaiahKalpana
    4 года назад
  • B.tech|B.Sc|LDE in y & x, Exact + Non, Bernoulli's
    B.tech|B.Sc|LDE in y & x, Exact + Non, Bernoulli's
  • (xy^3+y)dx+2(x^2y^2+x+y^4)dy=0 #NonExact L598 @MathsPulseChinnaiahKalpana
    (xy^3+y)dx+2(x^2y^2+x+y^4)dy=0 #NonExact L598 @MathsPulseChinnaiahKalpana
    4 года назад
  • (y+y^3/3+x^2/2)dx+1/4(x+xy^2)dy=0 #NonExact L597 @MathsPulseChinnaiahKalpana
    (y+y^3/3+x^2/2)dx+1/4(x+xy^2)dy=0 #NonExact L597 @MathsPulseChinnaiahKalpana
    4 года назад
  • Кто переживет войну в Иране?
    Кто переживет войну в Иране?
    10 часов назад
  • НОВЫЙ ОБЯЗАТЕЛЬНЫЙ ЭКЗАМЕН ДЛЯ ВСЕХ
    НОВЫЙ ОБЯЗАТЕЛЬНЫЙ ЭКЗАМЕН ДЛЯ ВСЕХ
    17 часов назад
  • ⚡️ Военные НАТО открыли огонь || Сбит самолёт Украины
    ⚡️ Военные НАТО открыли огонь || Сбит самолёт Украины
    4 часа назад
  • ШУЛЬМАН: новая мобилизация, уход Путина, смута. Чебурнет. Большое интервью / МОЖЕМ ОБЪЯСНИТЬ
    ШУЛЬМАН: новая мобилизация, уход Путина, смута. Чебурнет. Большое интервью / МОЖЕМ ОБЪЯСНИТЬ
    1 день назад
  • ОДНА САТАНА: скрытая власть первых леди | Разборы
    ОДНА САТАНА: скрытая власть первых леди | Разборы
    16 часов назад
  • dy/dx=x(2logx+1)/siny+ycosy, dy/dx=e^(3x-2y)+x^2e^(-2y)|Variable Separable|Introduction|M1|EL18
    dy/dx=x(2logx+1)/siny+ycosy, dy/dx=e^(3x-2y)+x^2e^(-2y)|Variable Separable|Introduction|M1|EL18
    5 лет назад
  • Ты — Исполинский Козодой (И ЭТО ВСЯ ТВОЯ ЖИЗНЬ)
    Ты — Исполинский Козодой (И ЭТО ВСЯ ТВОЯ ЖИЗНЬ)
    19 часов назад
  • Путин убивает молодёжь. Вербовка в вузах набирает обороты
    Путин убивает молодёжь. Вербовка в вузах набирает обороты
    23 часа назад
  • Мадуро и Асад показали Да кого ты вообще сможешь поддержать? Решил — если позориться, то до конца?
    Мадуро и Асад показали Да кого ты вообще сможешь поддержать? Решил — если позориться, то до конца?
    15 часов назад
  • Арестович: На чьих условиях закончится война в Украине?
    Арестович: На чьих условиях закончится война в Украине?
    Трансляция закончилась 11 часов назад
  • Скотт Риттер: Иран 7-минут назад срочно!
    Скотт Риттер: Иран 7-минут назад срочно!
    6 часов назад
  • Цены На Нефть Бьют Рекорды📈Оборона Голубовки Рухнула💥 Массированные Удары🔥 Военные Сводки 09.03.2026
    Цены На Нефть Бьют Рекорды📈Оборона Голубовки Рухнула💥 Массированные Удары🔥 Военные Сводки 09.03.2026
    13 часов назад
  • Бесконечно вложенные радикалы | Два способа решения
    Бесконечно вложенные радикалы | Два способа решения
    4 месяца назад
  • Цзян Сюэцин: Война с Ираном — перелом, навсегда изменивший Ближний Восток
    Цзян Сюэцин: Война с Ираном — перелом, навсегда изменивший Ближний Восток
    1 день назад
  • Пентагон готовит дерзкую операцию против Ирана / Тайная игра Трампа и Нетаньяху /№1107/ Юрий Швец
    Пентагон готовит дерзкую операцию против Ирана / Тайная игра Трампа и Нетаньяху /№1107/ Юрий Швец
    10 часов назад
  • О нас
  • Контакты
  • Отказ от ответственности - Disclaimer
  • Условия использования сайта - TOS
  • Политика конфиденциальности

video2dn Copyright © 2023 - 2025

Контакты для правообладателей video2contact@gmail.com